[最も欲しかった] 円の中心の座標と半径 526999-円の中���の座標と半径
高校数学 三角形の内接円の方程式 受験の月
円の方程式 中心が C(a,b) C ( a, b) で、半径が r の円の方程式は、次で表される。 (x− a)2 (y− b)2 = r2 ( x − a) 2 ( y − b) 2 = r 2 この形は、円の方程式の基本形と呼ばれることがあります。 式に円の中心の情報が入っているので、中心に関することがわかって 標記件、以下を満足させる式はどのように導けばよろしいでしょうか?ご教示下さい。 (input) ・始点と終点の2点のxy座標 ・半径r (output) ・中心点座標 ・2点を結ぶ円弧の関
円の中心の座標と半径
円の中心の座標と半径- 2点と半径から円の中心座標を求める ごく普通に解いてみる 2点と半径で円の中心が決まるのはごく簡単です。 こんな感じですね。 さて、当然の事ながら2次方程式の解ですので答えは最大2つ出てきます。2点と半径から円の中心を求める 2点の座標と半径を入力すると、指定した半径で2点を通る円の中心座標が表示されます。 2点間の距離 < 半径×2 → 中心が2つ 2点間の距離 = 半径×2 → 中心が1つ(1点目と2点目に同じ座標が表示される) 2点間の距離 > 半径×2 → 存在しない(NaNが表示される)
円の方程式の導き方 数学 苦手解決q A 進研ゼミ高校講座
Q1 方程式(x5) 2 (y1) 2 =6 が表す円の中心の座標と半径を求めなさい。 Q2 方程式(x4) 2 y 2 =25の中心の座標と半径を求めなさい。 方程式(x4) 2 y 2 =25 中心(a,b)で半径r、円周の任意の点を(x i,y i)とすると円は以下の式で表せます。 rと中心とx i,y i 間の距離の差を出す式をとりあえず差を0として作成します。 上記の式を二乗すると 左式を使って上式からカッコを取り除きシンプルにします。 例えば を に そこで、 python で円の座標と半径を吐き出すプログラムを書いてみました。 前置き プログラムの設計 コード 出力例 プログラムの設計 設計指針ですが、次のHPに書いてあった式を参考にしてみました。 行列で連立方程式を解く 画像処理ソリューション imagingsolutionblogfc2com imagingsolutionblogfc2com 任意の3点の座標を引数とする (A,B,C)を求めるために, ( 逆行列) x
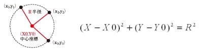
点 (−a ,−b) を中心とする半径 r の円の方程式が (xa) 2 (yb) 2 =r 2 点 (a ,−b) を中心とする半径 r の円の方程式が (x−a) 2 (yb) 2 =r 2 のように,中心の座標 (a, b) は,円の方程式では見かけ上の符号が逆になる点に注意. (1) (2)とも右辺は r 2 なので, 半径 範囲は半径1、中心は原点(0, 0)の円です。戻り値は、Vector2型の2次元空間上の座標となります。 任意の半径にしたい場合は、次のように 半径を戻り値に掛けます。円の方程式に3点を代入し3元2次連立方程式として、未知数中心座標P O (x 0,y 0),半径Rを求める.(別解:代数的解法) 半径 R は中心座標 P O (x 0 ,y 0 ) から各点 P 1~3 (x 1~3 ,y 1~3 ) までの距離だから3平方の定理で求めればよい.
円の中心の座標と半径のギャラリー
各画像をクリックすると、ダウンロードまたは拡大表示できます
![]() キャリパー 株式会社ガゾウ | ![]() キャリパー 株式会社ガゾウ | キャリパー 株式会社ガゾウ |
キャリパー 株式会社ガゾウ | キャリパー 株式会社ガゾウ | キャリパー 株式会社ガゾウ |
キャリパー 株式会社ガゾウ | キャリパー 株式会社ガゾウ | ![]() キャリパー 株式会社ガゾウ |
![]() キャリパー 株式会社ガゾウ | ![]() キャリパー 株式会社ガゾウ | キャリパー 株式会社ガゾウ |
![]() キャリパー 株式会社ガゾウ | ![]() キャリパー 株式会社ガゾウ | ![]() キャリパー 株式会社ガゾウ |
![]() キャリパー 株式会社ガゾウ | ![]() キャリパー 株式会社ガゾウ | キャリパー 株式会社ガゾウ |
![]() キャリパー 株式会社ガゾウ | ![]() キャリパー 株式会社ガゾウ | キャリパー 株式会社ガゾウ |
キャリパー 株式会社ガゾウ | ![]() キャリパー 株式会社ガゾウ | ![]() キャリパー 株式会社ガゾウ |
![]() キャリパー 株式会社ガゾウ | ![]() キャリパー 株式会社ガゾウ | ![]() キャリパー 株式会社ガゾウ |
キャリパー 株式会社ガゾウ | キャリパー 株式会社ガゾウ | キャリパー 株式会社ガゾウ |
キャリパー 株式会社ガゾウ | ![]() キャリパー 株式会社ガゾウ | ![]() キャリパー 株式会社ガゾウ |
キャリパー 株式会社ガゾウ | ![]() キャリパー 株式会社ガゾウ | キャリパー 株式会社ガゾウ |
キャリパー 株式会社ガゾウ | ![]() キャリパー 株式会社ガゾウ | ![]() キャリパー 株式会社ガゾウ |
![]() キャリパー 株式会社ガゾウ | キャリパー 株式会社ガゾウ | キャリパー 株式会社ガゾウ |
![]() キャリパー 株式会社ガゾウ | ![]() キャリパー 株式会社ガゾウ | キャリパー 株式会社ガゾウ |
![]() キャリパー 株式会社ガゾウ | キャリパー 株式会社ガゾウ | ![]() キャリパー 株式会社ガゾウ |
キャリパー 株式会社ガゾウ | キャリパー 株式会社ガゾウ | ![]() キャリパー 株式会社ガゾウ |
キャリパー 株式会社ガゾウ | ![]() キャリパー 株式会社ガゾウ | ![]() キャリパー 株式会社ガゾウ |
![]() キャリパー 株式会社ガゾウ | ![]() キャリパー 株式会社ガゾウ | ![]() キャリパー 株式会社ガゾウ |
![]() キャリパー 株式会社ガゾウ | キャリパー 株式会社ガゾウ | ![]() キャリパー 株式会社ガゾウ |
![]() キャリパー 株式会社ガゾウ | ![]() キャリパー 株式会社ガゾウ | ![]() キャリパー 株式会社ガゾウ |
![]() キャリパー 株式会社ガゾウ | ![]() キャリパー 株式会社ガゾウ | ![]() キャリパー 株式会社ガゾウ |
![]() キャリパー 株式会社ガゾウ | ![]() キャリパー 株式会社ガゾウ | ![]() キャリパー 株式会社ガゾウ |
![]() キャリパー 株式会社ガゾウ | ![]() キャリパー 株式会社ガゾウ | キャリパー 株式会社ガゾウ |
キャリパー 株式会社ガゾウ | キャリパー 株式会社ガゾウ | キャリパー 株式会社ガゾウ |
キャリパー 株式会社ガゾウ | ![]() キャリパー 株式会社ガゾウ | ![]() キャリパー 株式会社ガゾウ |
![]() キャリパー 株式会社ガゾウ | キャリパー 株式会社ガゾウ | ![]() キャリパー 株式会社ガゾウ |
![]() キャリパー 株式会社ガゾウ | ![]() キャリパー 株式会社ガゾウ | ![]() キャリパー 株式会社ガゾウ |
キャリパー 株式会社ガゾウ | ![]() キャリパー 株式会社ガゾウ | ![]() キャリパー 株式会社ガゾウ |
キャリパー 株式会社ガゾウ | ![]() キャリパー 株式会社ガゾウ | ![]() キャリパー 株式会社ガゾウ |
![]() キャリパー 株式会社ガゾウ | キャリパー 株式会社ガゾウ | キャリパー 株式会社ガゾウ |
キャリパー 株式会社ガゾウ | ![]() キャリパー 株式会社ガゾウ | ![]() キャリパー 株式会社ガゾウ |
![]() キャリパー 株式会社ガゾウ | ![]() キャリパー 株式会社ガゾウ | キャリパー 株式会社ガゾウ |
キャリパー 株式会社ガゾウ | ![]() キャリパー 株式会社ガゾウ | ![]() キャリパー 株式会社ガゾウ |
![]() キャリパー 株式会社ガゾウ | キャリパー 株式会社ガゾウ |
(a,b)(c,d)(e,f)を通る式x^2y^2lxmyn=0のl,m,nと円の中心点の座標及び半径を求めます 指定した3点を通る円の式 高精度計算サイト ゲストさん平面上の3点 A (x 1, y 1 ), B (x 2, y 2 ), C (x 3, y 3) が同一直線上にないとき,これらの3点を通る円の方程式は x 2 y 2 lxmyn=0 ・・・ (1) の形で求めることができる. (解説) 点 P (x 0, y 0) を中心とする半径 r の円の方程式は (x−x 0) 2 (y−y 0) 2 =r 2 (r>0) ・・・ (2
Incoming Term: 円の中心の座標と半径,






























































コメント
コメントを投稿